В современном мире все большую актуальность обретают вопросы, тесно связанные с геометрией. Мы живем в геометрическом мире, все предметы окружающие нас — это геометрические тела, заполняющие пространство. Поэтому тема разбиения пространства и плоскости — это тема, которая будет еще долго оставаться интересной для изучения и исследования. Одной из разновидностей задач о разбиении плоскости является задача о разбиении квадрата на меньшие квадраты различного размера или задача о квадрировании квадрата. Данная задача — это благодатная почва для исследования, так как, на наш взгляд в данной области можно еще многое и многое увидеть, попробовать обосновать.
В журнале «Квант» № 4 2010г. нас заинтересовала статья «Квадрирование квадрата» Н. Авилова, в которой рассказывается о том, как можно квадрат разбить на меньшие квадраты. Оказывается, данная проблема уже давно будоражит умы многих известных математиков. Конечно, речь идет не о разбиении квадрата на
равных квадратов. Очень долгое время оставался нерешенным вопрос относительно разбиения квадрата на несколько неравных по площади квадратов. Данная задача была успешно решена немецким геометром Р.Шпаргом, который смог разбить квадрат на 55 попарно различных квадратов. Вскоре после этого в 1940 году английские математики А. Г. Стоун и У. Т. Татти установили, что каждый квадрат можно (и притом даже двумя различными способами) разбить на 28 попарно различных квадратов. Присоединившиеся к ним Р.Брукс и С.Смит, разбили квадрат на 26 попарно неравных квадратов. Через несколько лет голландский математик А.Дуйвестийн смог разбить квадрат на 21 попарно неравных между собой квадрата (рис.1). Кроме того, многих математиков интересовал вопрос о том можно ли разбить прямоугольник на попарно различные квадраты. Решение данной задачи было указано польским математиком З.Мороном, а также повторно найдено индийским математиком С.Чуолой, которые смогли доказать, что из девяти квадратов со сторонами 1,4,7,8,9,10,14,15,18 можно сложить прямоугольник (разбиение Морана). В полном объеме данная задача была решена Р.Шпаргом, как уже было сказано выше. Известным математиком А. Н. Колмогоровым было придумано разбиение единичного квадрата, в котором каждый квадрат имеет с диагональю квадрата хотя бы одну общую точку (рисунок2). На рисунке 3 приведен пример квадрирования квадрата со стороной 14. В данном разбиении длины сторон квадратов подчиняются следующей закономерности: 1квадрат площадью
, 2 квадрата площадью
, 3 квадрата площадью
, 4 квадрата площадью
, 5 квадратов площадью
, 6 квадратов площадью
.
Рис. 1.
Рис. 2.
Рис. 3.
Существует еще несколько способов разбиения квадрата на квадраты меньшего размера, однако в данной работе нам хотелось бы рассказать о разбиении квадрата на рамки, состоящие из вложенных квадратов.
Основное содержание.
Предметом нашего исследования стала задача для самостоятельного, предложенная в заключении статьи Н. Авилова:
Квадрат с нечетной стороной 2n-1 можно представить в виде объединения вложенных квадратных рамок шириной 1. Рассмотрим его квадрирование следующим образом: квадраты первой внешней рамки оставим без изменения; каждый квадрат второй рамки разобьем на 4 квадрата, каждый квадрат третьей рамки разобьем на 9 квадратов и т. д., центральный квадрат разобьем на
квадратов (рис.4). На сколько квадратов оказался разбит данный квадрат?
Рис. 4.
Целью нашей работы стало исследование взаимосвязи между количеством квадратов каждого цвета, а также, что являлось приоритетным для нас, выведение конечной формулы, по которой можно было бы определить количество вложенных квадратов для любого исходного квадрата с нечетной стороной равной 2n-1.
Мы поставили перед собой задачи:
найти количество квадратов, на которые разбивается наш исходный квадрат со стороной 2n-1 для нескольких частных случаев;
установить закономерность нахождения суммы всех квадратов, входящих в разбиение;
обобщить выявленные результаты, подведя их под общую формулу, с помощью которой можно найти количество квадратов разбиения для любого квадрата с нечетной стороной;
выявить взаимосвязь между количеством квадратов в синих и желтых рамках.
Используемые методы:
Анализ и систематизация информации, полученной опытным путем (рассмотрение частных случаев решения задачи), обобщение полученного опыта, индукция, моделирование.
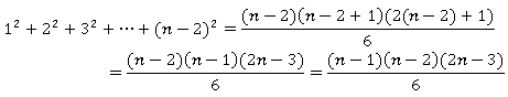
Глава1. Решая, предложенную выше задачу, сначала мы рассмотрели несколько частных случаев, то есть расписали отдельно для каждой рамки количество квадратов, на которые она разбита. Приведем пример разложения, предложенный нам на рисунке 4, получим следующее разбиение:
Сторона данного квадрата равна 7, тогда, так как 2n-1=7, то n=4.
1 рамка:
2 рамка:
3 рамка:
Центральный квадрат
Итого
Затем мы просчитали еще несколько частных случаев.
Первое, что мы выявили, рассматривая частные случаи, это то, что n — это количество рамок, на которые разбит наш исходный квадрат с нечетной стороной, включая центральный квадрат.
Далее мы решили попытаться установить закономерность и вывести формулу нахождения общего количества всех вложенных квадратов для любого квадрата с нечетной стороной, равной 2n-1.
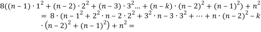
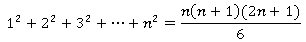
Так как сторона нашего квадрата равна 2n-1, то легко заметить, что при подсчете квадратов наружной рамки, если мы будем считать верхний и нижний ряд и примем количество квадратов в них за 2n-1, то количество квадратов в боковых рядах будет равно 2n-3, то есть на два меньше, так как угловые квадратики не могут входить одновременно и в верхний ряд и в боковой. Тогда количество единичных квадратов в наружной рамке будет равно (2n-1+2n-3)∙2. Относительно следующей рамки наши рассуждения должны быть аналогичными, то есть количество единичных квадратов в следующей рамке будет равно (2n-3+2n-5)∙2 и так далее и учитывая то, что каждый единичный квадрат вложенной рамки разбивается сначала на
, затем на
и так далее, пока мы не дойдем до последнего центрального единичного квадрата, который разбит на
:
1 рамка
2 рамка
(I)
3 рамка
тогда по аналогии и учитывая то, что рамка вокруг центрального квадрата состоит из 8 единичных квадратов, каждый из которых разбит на
квадратов, получим, что
n-1(предпоследняя) рамка будет разбита на
а n-ная рамка (центральный квадрат), а точнее единичный квадрат, находящийся в центре будет разбит на
квадратов.
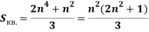
Затем нами была составлена таблица в Excel (приложение 2), с помощью которой мы подсчитывали количество квадратов поочередно в каждой рамке по формулам (I). Крайний правый столбец данной таблицы показывает сумму всех квадратов, на которые разбит наш исходный квадрат, найденную путем сложения количества квадратов всех вложенных рамок. Другими словами, общее количество вложенных квадратов мы находили по формуле:
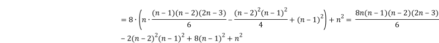
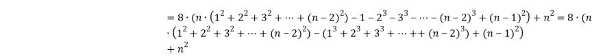
Конечно, данная формула подсчитывает общее количество вложенных квадратов, на которые разбит наш исходный квадрат с нечетной стороной, однако в тех случаях, когда сторона квадрата равна, например 931, подсчитать общее количество квадратов по данной формуле будет довольно проблематично. Поэтому мы решили попытаться создать более красивую формулу, позволяющую для любых значений стороны нашего исходного квадрата с нечетной стороной быстро найти сумму всех вложенных квадратов. Для этого мы решили попробовать преобразовать полученную формулу.
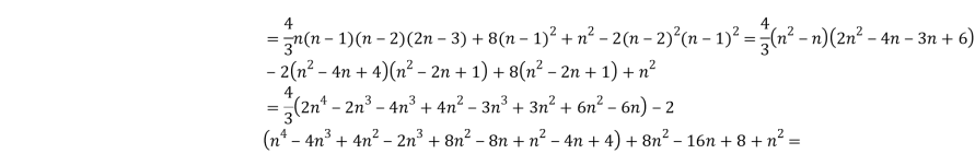
Мы вынесли общий множитель 8 за скобку, для удобства ввели новую переменную k=n-2, получили:
Легко заметить, что для упрощения вычисления необходимо сгруппировать некоторые слагаемые, вынеся за скобки общий множитель — n, тогда выражение примет следующий вид
для удобства вычисления мы решили воспользоваться формулами суммы первой степени квадратов и кубов первых n натуральных чисел:
(1)
(2)
так как последний член нашей последовательности равен (n-2), то формула (1) в нашем случае примет вид
(3)
а формула (2) примет вид
(4)
запишем наше исходное выражение, заменив сумму квадратов и кубов первых (n-2) слагаемых на формулы (3) и (4) соответственно, получим
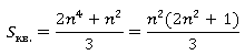
Придя к данным результатам, мы также проверили их на нескольких частных случаях и убедились, что результат вычисления совпадает с нашей исходной формулой нахождения суммы, полученной путем обычного сложения формул (I). Однако, мы решили все же попытаться преобразовать и эту формулу, воспользовавшись формулами сокращенного умножения:
Таким образом, окончательный вариант формулы подсчета количества квадратов, на которые разбивается квадрат с нечетной стороной, равной 2n-1 и который можно представить в виде объединения вложенных квадратных рамок, разбиваемых на каждом шаге (любая последующая рамка) на
квадратов, выглядит следующим образом:
(5)
где
- сумма всех вложенных квадратов со стороной a=2n-1,
тогда n=(a+1):2
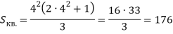
Давайте проверим полученную формулу (5) для нашего исходного квадрата со стороной равной 7 и n=4, получим:
Нами была проведена проверка полученной формулы для нескольких различных квадратов с нечетной стороной 2n-1, которая показала, что формула работает для любых значений, поэтому мы решили создать в Excel таблицу значений количества вложенных квадратов, на которые разбит исходный квадрат с произвольной нечетной стороной равной 2n-1 (приложение 1). Кроме того, для сопоставления результатов, полученных также в таблице Excel (приложение2), но иным путем, а именно, для каждой рамки считается отдельно количество квадратов, на которые разбита эта рамка по формулам (I), а уже в крайнем правом столбце суммируются все квадраты разбиения. Анализируя данные, полученные в приложении 1 и приложении 2, получим, что итоговая формула (5) работает, так как суммы всех квадратов разбиения, входящих в исходный квадрат с произвольной нечетной стороной полученных в приложении 1 совпадают с данными, полученными в приложении 2.
Глава 2. Рассмотрим еще раз рисунок 4. По рисунку видно, что рамки раскрашены поочередно сначала в желтый, а затем в синий цвет. Мы решили подсчитать какова сумма квадратов каждого цвета для любого квадрата с нечетной стороной 2n-1 и выявить разницу (если она существует) между данными суммами.
Для этого мы решили проверить, с помощью созданной нами в Excel таблицы значений количества квадратов каждого цвета, первые 27 квадратов с нечетной стороной (приложение № 3). У нас получилось, что квадраты делятся на две группы. Первая группа — это те квадраты, у которых n четное число, тогда центральный единичный квадрат будет окрашен в синий цвет (рис.4), а вторая группа — это квадраты, у которых n число нечетное, тогда центральный квадрат будет окрашен в желтый цвет. Те номера рамок, в которых n четное число мы закрасили в зеленый цвет, а те, у которых n — нечетное число в оранжевый. Количество квадратов, на которые разбиваются рамки, считаются по формулам (I) (отдельно для каждого ряда), приведенным выше. Далее в крайнем правом столбце подсчитывается разница между суммой квадратов в желтых рамках и суммой квадратов в синих рамках, то есть задается формула, по которой сначала суммируются все квадраты, находящиеся в желтых рамках, а затем от них вычитается сумма всех квадратов, находящихся в синих рамках. Давайте разберем некоторые из рассмотренных в приложении 3 вариантов нахождения разницы между количеством желтых и синих квадратов.
n=2 Ж-С=4
n=4 Ж-С=16
n=12 Ж-С=144 и т. д.;
n=3 Ж-С= -7
n=11 Ж-С= -119
n=21 Ж-С= -439 и т. д.
Проанализировав данные нашей таблицы, мы выявили следующую закономерность: при четном n квадратов желтого цвета больше чем квадратов синего цвета на
, а при нечетном n, синих квадратов больше чем желтых на
. Стоит отметить, что в таблице значение разницы между желтыми и синими квадратами в нечетных рядах — это число отрицательное, что подтверждает тот факт, что в нечетных рядах преобладают квадраты синего цвета, несмотря на то, что рамок, окрашенных в синий цвет в данных рядах на одну меньше, чем рамок, окрашенных в желтый цвет. При n, принимающем четные значения, количество желтых и синих рамок одинаково.
Выводы
В начале работы нами была поставлена цель попытаться вывести конечную формулу для нахождения общего количества всех квадратов, на которые разделен наш исходный квадрат с нечетной стороной, что нам в итоге удалось сделать. Эта формула имеет вид:
Кроме того, нам показался не случайным тот факт, что рамки, на которые разделен исходный квадрат, окрашены в два различных цвета, и мы решили подсчитать поочередно количество квадратов в синих и желтых рамках, а затем найти разницу между полученными результатами. Оказалось, что при четном n квадратов желтого цвета больше чем квадратов синего цвета на
, а при нечетном n синих квадратов больше чем желтых на
.
Хотя цель, поставленная нами в начале работы, была достигнута, на наш взгляд, но чем больше мы углублялись в исследование, тем больше открывали для себя все новые и новые пути для дальнейшего исследования, перед нами возникали новые вопросы, ответы на которые мы надеемся найти в качестве продолжения к нашей сегодняшней работе. Свою работу хотелось бы закончить словами В.Произволова: «Геометрия полна приключений, потому что за каждой задачей скрывается приключение мысли. Решить задачу — это значит пережить приключение».
Приложение 1
Таблица значений количества вложенных квадратов
|
Сторона квадрата |
Значение n |
Количество квадратов |
|
3 |
2 |
12 |
|
5 |
3 |
57 |
|
7 |
4 |
176 |
|
9 |
5 |
425 |
|
11 |
6 |
876 |
|
13 |
7 |
1617 |
|
15 |
8 |
2752 |
|
17 |
9 |
4401 |
|
19 |
10 |
6700 |
|
21 |
11 |
9801 |
|
23 |
12 |
13872 |
|
25 |
13 |
19097 |
|
27 |
14 |
25676 |
|
29 |
15 |
33825 |
|
31 |
16 |
43776 |
|
33 |
17 |
55777 |
|
35 |
18 |
70092 |
|
37 |
19 |
87001 |
|
39 |
20 |
106800 |
|
41 |
21 |
129801 |
|
43 |
22 |
156332 |
|
45 |
23 |
186737 |
|
47 |
24 |
221376 |
|
49 |
25 |
260625 |
|
51 |
26 |
304876 |
|
53 |
27 |
354537 |
|
55 |
28 |
410032 |
|
57 |
29 |
471801 |
|
59 |
30 |
540300 |
|
61 |
31 |
616001 |
|
63 |
32 |
699392 |
|
65 |
33 |
790977 |
|
67 |
34 |
891276 |
|
69 |
35 |
1000825 |
|
71 |
36 |
1120176 |
|
73 |
37 |
1249897 |
|
75 |
38 |
1390572 |
|
77 |
39 |
1542801 |
|
79 |
40 |
1707200 |
|
81 |
41 |
1884401 |
|
83 |
42 |
2075052 |
|
85 |
43 |
2279817 |
|
87 |
44 |
2499376 |
|
89 |
45 |
2734425 |
|
91 |
46 |
2985676 |
|
93 |
47 |
3253857 |
|
95 |
48 |
3539712 |
|
97 |
49 |
3844001 |
|
99 |
50 |
4167500 |
|
101 |
51 |
4511001 |
Литература:
- Журнал «Квант»,2010,№ 4.
- Яглом И. М. Как разрезать квадрат?-М.:Наука,1968.
- Гарднер М. Математические головоломки и развлечения.-М.:Мир,1999г.
- Кордемский Б. А. Математическая смекалка.-М.ГИФМЛ,1958г.
- Произволов В. В. Задачи на вырост.-М.МИРОС,1995г.

