Сегодня, для поднятия тела в воздух используют, например, разность давлений над и под крылом самолета, вырывающуюся струю газа из сопла ракеты. Однако, может возникнуть мысль о том, каким принципиально отличающимся способом можно поднять тело над поверхностью Земли.
Рассмотрим вопрос о создании подъемной силы в воздушной среде, используя разность давлений над и под аппаратом с помощью ионизации атомов из атмосферы. Для этого нужно:
- Ионизировать воздух используя ионизатор. Ионизаторы работают от источника ионизирующего излучения (ультрафиолетового или на радиоактивных изотопах) или на высоком напряжении (несколько тыс. вольт) с коронным разрядом на электродах.
- Заряженный воздух должен образовываться в непосредственной близости от верхней поверхности аппарата, чтобы избежать рекомбинации атомов при движении к нижней поверхности.
Эффективным способом ионизации воздуха могут являться α -частицы, так как они обладают значительной ионизирующей и малой проникающей способностями.
Когда нестабильное ядро находится в процессе излучения своей избыточной энергии, то испускает частицы, которые являются ядрами гелия и состоит из двух протонов и двух нейтронов. Эти частицы называются α-частицами. Проиллюстрируем это на рис. 1.
Рис. 1. Испускающее α -частицу ядро атома [4]
Когда α-частица проходит в непосредственной близости от электрона, она притягивает его и может вырвать с нормальной орбиты. Атом теряет электрон и таким образом преобразуется в положительно заряженный ион. Проиллюстрируем это на рис. 2.
Рис. 2. Притягивающая электрон атома α-частица [4]
Ионизация атома требует приблизительно 30–35 эВ энергии. Таким образом, α-частица, обладающая, например, 5 000 000 эВ энергии в начале ее движения, может стать источником создания более чем 100 000 ионов прежде, чем она перейдет в состояние покоя.
Таким образом, затрачивая на каждый акт ионизации 34 эВ и обладая энергиями в пределах 4–9 МэВ, α -частицы на пути движения в воздухе до полного торможения образуют 100–300 тыс. пар ионов.
Источником альфа-частиц можно использовать уран-238, который за период распада до свинца-206 излучает 8 α-частиц. Проиллюстрируем схему на рис. 3.
Рис. 3. Схема распада урана-238
Безусловно, уран-238 испускает β-частицы [2], но в связи с тем, что они легче α –частиц в 7000 раз, то обладают большой длинной пробега (до 20 метров), следовательно, ионизируют воздух вдали от поверхности аппарата, поэтому можно пренебречь ими в расчетах.
Перейдем к рассмотрению принципа действия и самого аппарата. Его корпус, в данном рассмотрении, является кубом, хотя может быть использована любая форма. Основой аппарата является расположенный в верхней отсек с ураном-238 — источником α-частиц, а по вертикальной оси располагается конденсатор отрицательным концом в низ. Такое расположение конденсатора обусловлено тем, что при ионизации, образующиеся электроны сразу оседали на верхней части. При этом положительные ионы не будут подвержены рекомбинации с отделившимися электронами. Проиллюстрируем аппарат на рис. 4.
Рис. 4. Описывающая принцип работы схема аппарата
Для решения задачи примем, что аппарат представляет собой куб и находится в помещении с идеальным одноатомным газом. Запишем необходимые данные в таблице 1.
Таблица 1
|
Дано: |
Значение |
|
Давление в помещении (P) |
101300 Па |
|
Объем воздуха (V) |
1000
|
|
Длина ребра (a) |
2 м |
|
Среднее количество ионов (
|
150000 |
|
Температура (T) |
273К |
|
Масса аппарата (m) |
1000 кг |
|
Постоянная Авогадро (
|
6.02*
|
|
Ускорение свободного падения (g) |
9,8
|
|
Масса ядра атома урана-238 (
|
3,95*
|
1) Изобразим условие на рис. 5:
Рис. 5. Условие решаемой задачи
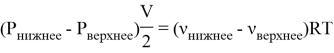
2) Условия необходимые для подъема тела:
где S=
3) Из уравнения Менделеева-Клайперона выразим разность количества вещества сверху и снизу:
Тогда разность количества вещества приблизительно равна 540 моль.
4) 540 моль соответствует 3,25*
5) Поделив количество ионов на среднее количество ионов, образуемых α-частицей получим необходимое число α-частиц — 2,1672*
6) Поделим
7) Для того чтобы переместить ионы из верхнего центра в нижний, вдоль по корпусу, в поле силы тяжести Земли, примем что электрическое поле совершает работу по перемещению протонов равную:
Таким образом, при малых затратах (21,7 Дж для конденсатора и 1,07*
1) Полеты в воздушной среде.
2) Перемещение в приповерхностном слое на воздушной подушке.
Первое применение позволит поднимать значительные грузы на определенные высоты и перемещаться в воздушной среде, а второй позволит безопасно передвигаться по любым поверхностям по причине отсутствия контакта с ней.
Перспектива использования аппаратов, работающих на рассмотренном принципе, видится, как в использовании его на Земле (места, где человек не может находиться; транспортировка различных грузов и человека; исследования, проводимые там, где нужно зависание над одним местом), так и на других планетах, имеющих атмосферу, например, использование на марсианских роверах [1]. Это связано с тем, что сегодня на последних марсоходах, в качестве энергетических установок, используются РИТЭГ [1,9] на плутониевом топливе, которые могут служить источником α-частиц. При этом роверы могут использовать данный принцип следующим образом:
1) Основной способ передвижения (как передвижение полетом, так и на воздушной подушке).
2) Поднятие на высоту для разведки местности и корректировки маршрута.
3) Периодическое использование для преодоления препятствий, которые ровер не может переехать на колесах.
Литература:
- Mars 2020/Perseverance. — Текст: электронный // NASA: [сайт]. — URL: https://mars.nasa.gov/files/mars2020/Mars2020_Fact_Sheet.pdf (дата обращения: 29.05.2020).
- Излучение. β-излучение — это процесс испускания электронов непосредственно из ядра атома. — Текст: электронный // Студопедия: [сайт]. — URL: https://studopedia.ru/2_102620_izluchenie.html (дата обращения: 10.06.2020).
- Ионизатор. — Текст: электронный // Wikipedia: [сайт]. — URL: https://ru.wikipedia.org/wiki/Ионизатор#Виды_ионизаторов (дата обращения: 25.05.2020).
- Ионизация вещества альфа-частицей. — Текст: электронный // Студопедия: [сайт]. — URL: https://studopedia.ru/2_102619_ionizatsiya-veshchestva-alfa-chastitsey.html (дата обращения: 25.05.2020).
- Ионизация среды альфа-частицами. — Текст: электронный // lektsii.org: [сайт]. — URL: https://lektsii.org/12–58493.html (дата обращения: 25.05.2020).
- Ионизирующее излучение. — Текст: электронный // Wikipedia: [сайт]. — URL: https://ru.wikipedia.org/wiki/Ионизирующее_излучение (дата обращения: 25.05.2020).
- Механизм образования и характеристика корпускулярных видов излучения (альфа-, бета-частиц); их взаимодействие с веществом.. — Текст: электронный // Студопедия: [сайт]. — URL: https://studopedia.ru/17_115631_mehanizm-obrazovaniya-i-harakteristika-korpuskulyarnih-vidov-izlucheniya-alfa--beta-chastits-ih-vzaimodeystvie-s-veshchestvom.html (дата обращения: 25.05.2020).
- Оружие массового поражения. — Текст: электронный // Blogger: [сайт]. — URL: http://mass-destruction-weapon.blogspot.com/2010/02/blog-post_09.html (дата обращения: 29.05.2020).
- РИТЭГ: прозаичные тепло и электричество для космических аппаратов. — Текст: электронный // Habr: [сайт]. — URL: https://habr.com/ru/post/231197/ (дата обращения: 29.05.2020).

