1. Introduction
Gas turbines still take the center stage in the contemporary power systems due to their ability to produce high specific power, quick start-up, and seamless integration with combined cycle generation. These characteristics are important in systems where the proportion of variable renewable energy is increasing since there are still flexible thermal plants to maintain grid stability and dispatchable generation. Meanwhile, the more efficient heavy-duty gas turbines now are running at combined-cycle efficiencies well over 64 percent, which demonstrates that it is not yet a mature technology but one that is in continuous improvement [1,2].
This progress, however, increases the demands on the hot section. Increased firing temperatures, enhanced thermal gradients, increased frequency of start-stop and load-following duty and increased range of fuel-flexibility targets increase the thermo-mechanical loading of blades, vanes, and discs. This has led to durability being a key design and life-management issue instead of a secondary verification process [3–7].
The present paper addresses this issue from two connected sides. First, it outlines the key development trends in gas turbines and their implications to the reliability of the hot-section. Second, it suggests a compact enhanced deformation-based criterion to assess turbine-disc durability and also studies its behavior using two validation cases [6,8,15].
2. Gas Turbine Development Trends, Durability Challenge, and Study Objective
Development of gas-turbines is now being guided by increased combined-cycle efficiency, high turbine inlet temperature, increased operational flexibility, broader fuel adaptability, and more data-based lifecycle management. In that respect, the modern heavy-duty gas turbine is more than a thermodynamic machine, it is a thermal, material and durability system. The evolution is as shown in Figure 1, and Table 1 connects the key development phases to their enabling technology and implication of durability.
The advancements have been based on the enhancement of aerodynamics, pressure ratio, combustion design, sealing, and integration of combined cycles. Meanwhile, the trend towards H-, J-, and HL-class machineries has created advanced cooling, single-crystal superalloys, and thermal barrier coatings as mandatory features rather than secondary improvements [2–4,7]. Cooling remains a key limit since the gas temperatures are above the permissible temperatures of metal of many hot-section components [3]. Thermal barrier coating increases the usable thermal window but their decay is a significant issue [4,10]. The machines that run at higher temperatures also needs better oxidation resistance, creep strength, and microstructural stability [7].
Table 1
Main stages and drivers of gas turbine technology development
|
Stage / focus |
Main technical objective |
Key enabling technologies |
Main durability implication |
|
Classical industrial GT development |
Higher simple-cycle power and reliability |
Aerodynamic refinement, improved compressor/turbine design |
Moderate thermal loading, mainly stress-based design |
|
Advanced combined-cycle era |
Higher plant efficiency |
Better exhaust heat recovery, higher pressure ratio, better combustion |
Higher steady thermal stress in hot-section parts |
|
High-temperature H/J/HL-class era |
Efficiency beyond 60 % CCGT and then above 64 % |
Advanced cooling, single-crystal alloys, TBCs, improved sealing |
Stronger creep-fatigue interaction and coating life issues |
|
Fuel-flexible / hydrogen-ready era |
Lower carbon intensity with dispatchable generation |
Low-NOx hydrogen-capable combustors, upgraded thermal management |
Changed combustion temperature field and transient thermal risk |
|
Digital lifecycle era |
Reliability under flexible operation |
Digital twins, diagnostics, prognostics, inspection-informed models |
Life prediction becomes continuously updated rather than static |
Fig. 1. Representative heavy-duty gas turbine efficiency levels
Fuel flexibility and lifecycle-oriented operation add further complexity. Gas turbines that can use hydrogen and the associated combustion systems are receiving growing interest since they can facilitate decarbonization while preserving dispatchability [5]. Simultaneously, gas turbines are being operated in more start-stop cycles, load following, and variable thermal histories, so the rotor life extension, assessing it with information in inspections, and digital twins to manage performance and health is of increasing interest [8,9].
In this wider evolution, one of the central technological bottlenecks is still the hot-section durability. Higher performance intensifies thermal gradients, inelastic strain, creep exposure, oxidation, and cyclic damage in the hottest and most highly loaded components. In the case of blades and vanes, the primary issues are heat loading, cooling performance, coating loss, thermo-mechanical fatigue, and, in certain instances, repair problems [10,11]. In discs and rotors, centrifugal stress, radial temperature gradients, start up/shut down transients, creep-fatigue interaction, and unidirectional inelastic accumulation are the leading problems. Thermal-gradient fatigue experiments also demonstrate that realistic high-temperature testing requires not only constitutive behavior, but imposition and measurement of temperature gradients in testing [12–14].
Two key gaps arise as a result of this background. First, most of the review papers explain the trends in technology neatly yet the linkage between development of gas turbines and lifing of components is implicit. Second, most of the detailed durability studies are done on material behavior, finite-element analysis, thermal-gradient tests, or crack-growth prediction, but there is no general linkage of these techniques to the broader evolution of modern gas turbines [6,8,12–14]. The use of deformation methods is meritorious since they differentiate between cyclic plasticity, cyclic creep, one-sided plastic accumulation, and one-sided creep accumulation [15]. Nevertheless, in cases where these mechanisms are only addited together via a linear sum, the model can be not sensitive enough to the actual thermo-mechanical regime.
This paper aims thus to relate the trends in gas-turbine technology to the assessment of durability of the hot-section and to suggest a compact enhanced deformation-based criterion that improves sensitivity to creep participation and one-sided inelastic accumulation.
3. Methodology
3.1. Thermo-mechanical durability workflow
Figure 2 summarizes the analytical procedure followed in this work. The workflow begins with the operating scenario which includes the start-up, load-following, steady high-temperature dwell, and shutdown. This cycle defines the thermal boundary conditions acting on the component. Finite element thermal and stress-strain analysis is then used to obtain the local temperature field, stress concentrations, and inelastic strain histories in the critical regions. Simultaneously, a constitutive material model, generally of elastic-plastic-creep or viscoplastic type, is employed to model the inelastic response of the material at temperature. The resultant measures of deformation are inputted into the damage criterion that yields a scalar index of severity for the considered loading regime. When necessary, the evaluation may be furthered to crack-growth or residual-life analysis. Validation is conducted using comparison with specimen tests, rig data, inspection or service observations, and digital updating can be a supplemental feedback phase.
Fig. 2. Compact workflow for thermo-mechanical durability assessment
3.2. Classical and proposed enhanced criterion
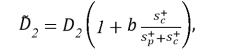
In the case of hot-section components operating under non-isothermal cyclic loading, deformation-based descriptions are convenient since they conserve the separation of the primary damage channels. In the current study, the classical foundation will be assumed to be a four-component deformation based cumulative damage model of turbine discs as introduced in [15], wherein the cumulative damage is expressed as.
|
|
(1) |
where D 1 represents cyclic plastic straining, D 2 — cyclic creep straining, D 3 — one-sided plastic accumulation, and D 4 — one-sided creep accumulation.
The appeal of this structure is that it isolates reversible cyclic inelasticity and progressive monotonic accumulation. Nevertheless, a pure linear combination is not always sensitive enough to the real loading regime, particularly when creep dominance or when one-sided accumulation becomes significant relative to the cyclic strain range. Because of this reason, the four-component model adopted is used here as the starting point for a compact enhanced criterion.
To maintain the clarity of the classical model and increase sensitivity of the mechanism, enhanced reduced terms are introduced. Let
|
|
|
|
|
(3) |
|
|
(4) |
|
|
(5) |
where
The total damage index is then defined as
|
|
|
where
3.3. Validation cases and coefficients
To conduct proof-of-concept assessment two representative cases were picked out of the rotating-disc dataset in [15] and referred to here as Case 1 and Case 2. These cases were selected since they are related to two distinctly different patterns of deterioration. Case 1 is dominated by one-sided creep accumulation and Case 2 is ruled mainly by cyclic-creep response.
For the validation calculations, the strain measures defined in Section 3.2. were used to evaluate the enhanced criterion.
For Case 1 , the input values were
For Case 2 , the corresponding values were
The adopted model coefficients were
These values keep the enhanced model close to the classical structure but with a greater importance to creep-related deterioration.
4. Results and Discussion
The classical damage components (D1-D4) were selected from the rotating-disc results as the baseline in the selected validation cases. The enhanced quantities
Table 3
Classical and enhanced damage indices for the selected validation cases
|
Case |
Level |
|
|
|
|
Total damage |
Governing mode |
|
Case 1 |
Classical |
0.0073 |
0.1010 |
0.0320 |
1.5700 |
|
— |
|
Case 1 |
Enhanced |
0.0079 |
0.1183 |
0.0384 |
2.4650 |
|
One-sided creep accumulation |
|
Case 2 |
Classical |
0.0530 |
0.6200 |
0.0700 |
0.2500 |
|
— |
|
Case 2 |
Enhanced |
0.0577 |
0.7074 |
0.0797 |
0.3064 |
|
Cyclic-creep response |
Table 2 reveals that the two cases are not only different in the aggregate severity, but also in the internal structure of damage. In Case 1, the predominant contribution is
The overall effect of the enhanced formulation can be analyzed by drawing a comparison between the classical cumulative damage
while the corresponding enhanced values are
Figure 3 presents these results as the comparative level of damages (classical and enhanced) in both cases.
Fig. 3. Comparison of classical and enhanced total damage for the selected validation cases
There are two key effects as shown in Figure 3. First, the enhanced criterion keeps the severity ranking of the cases: Case 1 remains more critical than Case 2. This is necessary, as the physical order of deterioration states should not be distorted by an enhanced model. Second, the enhanced criterion increases the predicted severity in both cases, although not equally. This implies that the suggested formulation does not use a uniform correction. Rather, it reacts to the internal damage structure of every case in a different manner.
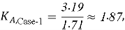
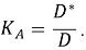
To bring this out better a factor of amplification can be given as
For Case-1,
while for cas-2,
In this way, the enhanced model raises the severity estimate of Case 1 compared to Case 2, which is in line with the higher contribution of one-sided creep accumulation in Case 1. Generally, the proposed formulation maintains severity ranking, better mechanism discrimination, and is a conservative without physical interpretability loss. In particular, Case 1 is dominated by
These results must be considered within the wider perspective of gas-turbine development. Higher firing temperature, operation flexibility, and increased fuel adaptability are all factors that increase thermo-mechanical stress on the components of the hot section. This is the reason why the trends in technology, discussed above, contribute to the necessity of more mechanism-sensitive models of durability. The overall finding is thus integrative: the development trends of gas turbines and durability modelling are not distinct issues, but two aspects of the same engineering challenge.
6. Conclusion
The paper has connected the development trends of gas-turbines with the hot-section durability assessment. The suggested reduced enhanced criterion maintained the severity ranking of the two validation cases and enhanced mechanism discrimination. Case 1 was dominated by
In general, the findings indicate that the suggested formulation offers a more informative description of thermo-mechanical deterioration than a simple linear cumulative rule, while remaining compact enough for engineering use. Future work should be focus on broader calibration, fieldwise FE implementation, extension to other hot-section components and more integration with the crack-growth and lifecycle assessment.
References:
- International Energy Agency (IEA). Electricity 2025. Paris, 2025. Available at: https://www.iea.org/reports/electricity-2025
- Guinness World Records. Most Efficient Combined Cycle Power Plant. Verified for Keadby 2 at 64.18 %, 2024. Available at: https://www.guinnessworldrecords.com
- Zhu S., Li Y., Yan J., Zhang C. Recent advances in cooling technology for the leading edge of gas turbine blades. Energies, 2025, vol. 18, no. 3, art. 540.
- Bogdan M., Peter I. A comprehensive understanding of thermal barrier coatings (TBCs): applications, materials, coating design and failure mechanisms. Metals, 2024, vol. 14, no. 5, art. 575.
- ETN Global. Hydrogen Gas Turbines Report 2024. Brussels, 2024. https://etn.global/wp-content/uploads/2024/11/ETN-Global-Hydrogen-Gas-Turbines-Report-10–2024.
- Moverare J., Lancaster R. J., Jones J. et al. A review of recent advances in the understanding of thermomechanical fatigue durability and failure mechanisms in nickel-based superalloys. Metallurgical and Materials Transactions A, 2025, vol. 56, pp. 1115–1134.
- Gudivada G., Pandey A. K. Recent developments in nickel-based superalloys for gas turbine applications: review. Journal of Alloys and Compounds, 2023, vol. 963, art. 171128.
- ETN Global. Rotor Lifetime Assessments: A Reference Report. Brussels, 2024. etn.global/wp-content/uploads/2024/05/ETN-Rotor-Lifetime-Assessments-A-Reference-Report-March-2024.
- Farhat H., Altarawneh A. Physics-informed machine learning for intelligent gas turbine digital twins: a review. Energies, 2025, vol. 18, no. 20, art. 5523.
- Vagge S. T., Ghogare S. Thermal barrier coatings: review. Materials Today: Proceedings, 2022, vol. 56, part 3, pp. 1201–1216.
- Tan Q., Liu K., Li J., Geng S., Sun L., Skuratov V. A review on cracking mechanism and suppression strategy of nickel-based superalloys during laser cladding. Journal of Alloys and Compounds, 2024, vol. 1001, art. 175164.
- Sun J., Yuan H., Vormwald M. Thermal gradient mechanical fatigue assessment of a nickel-based superalloy. International Journal of Fatigue, 2020, vol. 135, art. 105486.
- Sun J., Yuan H. Investigation of thermal gradient mechanical fatigue test methods for nickel-based superalloys. Experimental Mechanics, 2021, vol. 61, no. 3, pp. 565–580.
- Aublet A., Rambaudon M., N’guyen F., Ryckelynck D., Remacha C., Cariou R., Proudhon H. Mechanical fatigue testing under thermal gradient and manufacturing variabilities in nickel-based superalloy parts with air-cooling holes. Experimental Mechanics, 2022, vol. 62, no. 7, pp. 1079–1091.
- Гецов Л. Б., Семенов А. С., Грищенко А. И., Игнатович И. А. Современные методики расчетного определения термоусталостной прочности лопаток и дисков газовых турбин // LXV научно-техническая сессия по проблемам газовых турбин и парогазовых установок «Фундаментальные проблемы исследований, разработки и реализации научных достижений в области газовых турбин в российской экономике»: сборник докладов. Санкт-Петербург, 2018. С. 136–138.

