В настоящее время одной из ключевых целей образования является воспитание гармонично развитой личности обучающихся, способной к саморазвитию и трудовой деятельности. Однако, выходя за пределы школы, многие ученики сталкиваются с трудностями, которые связаны с применением полученных знаний на практике. Следовательно, актуальным направлением педагогической деятельности становится формирование и развитие у обучающихся не только системы предметных знаний, но и способностей к применению этих знаний при решении практических задач или жизненно важных проблем. Для реализации данной цели подходящим инструментом учителя являются контекстные задачи.
Т. Н. Константинова говорит следующее: «Суть контекстной задачи заключается в том, что учитель создает на уроке реальную или моделирует воображаемую жизненную ситуацию и предлагает ученику действовать в ней, опираясь на имеющиеся у него знания и опыт» [1, c. 30]. Существует несколько типов контекстных задач. Рассмотрим каждый из них подробнее.
- Предметные контекстные задачи подразумевают условие, в котором описана конкретная предметная ситуация. Для решения этой задачи нужно задействовать знания из разных разделов математики.
Пример предметной контекстной задачи. Периметр прямоугольного листа бумаги равен 60 см. При разрезании листа вдоль линии, параллельной одной из сторон этого прямоугольника, сумма периметров двух получившихся прямоугольников равна 80 см. Найдите площадь исходного листа бумаги.
Рис 1. Чертёж к предметной задаче
Решение.
Пусть одна сторона прямоугольника равна
Тогда получаем систему уравнений:
Вычтем из первого уравнения второе, тогда
Площадь исходного листа бумаги:
Ответ: 200 см 2 .
- Межпредметные контекстные задачи — это задачи, в условии и решении которых используются знания из двух и более предметных областей.
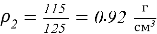
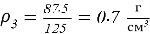
Пример межпредметной контекстной задачи . Для урока физики учитель принёс три одинаковых по размеру кубика: из алюминия, льда и дуба. Длина одного ребра каждого кубика равна 5 см. Масса кубика из алюминия — 337.5 г., из льда — 115 г., из дуба — 87.5 г. Расположите кубики в порядке увеличения их плотности. Найдите отношение плотности самого тяжёлого кубика к плотности самого лёгкого (Ответ округлите до сотых).
Примечание:
Решение.
Найдём объём каждого кубика:
Теперь по формуле вычислим плотность вещества:
Следовательно, если расположить кубики в порядке увеличения их плотности, то получится следующая последовательность: дуб, лёд, алюминий.
Найдём отношение плотности самого тяжёлого кубика к плотности самого лёгкого:
Ответ: дуб, лёд, алюминий; 3.86 раз.
- Практические контекстные задачи представляют собой задачи, для решения которых нужны знания не только из предметных областей, но и из жизненного опыта учеников [2, c. 98].
Пример практической контекстной задачи . Выберите наиболее выгодный тариф мобильной связи, если в среднем в месяц вы тратите 250 минут на звонки, 15 ГБ интернета и отправляете около 50 SMS. На сколько выбранный тариф выгоднее?
Предложенные тарифы:
— Тариф «Базовый». Абонентская плата — 400 руб./мес. Включено: 200 мин, 10 ГБ. Сверх пакета: звонки — 2 руб./мин, интернет — 50 руб./за 1 ГБ, SMS — 2 руб./шт.
— Тариф «Расширенный». Абонентская плата — 600 руб./мес. Включено: 300 мин, 20 ГБ, SMS — бесплатно. Сверх пакета: звонки — 1.5 руб./мин, интернет — 80 руб./за 1 ГБ.
Решение . Рассчитаем полную стоимость каждого тарифа, исходя из запроса, указанного в условии.
Тариф «Базовый». Минуты: нужно 250, а в тарифе 200, значит дополнительная плата равна
Тариф «Расширенный». Минуты: нужно 250, а в тарифе 300 — на месяц хватит. Интернет: нужно 15 ГБ, а в тарифе 20 ГБ — на месяц хватит. SMS: бесплатно. Итоговая стоимость тарифа равна сумме его абонентской платы, то есть 600 руб.
Таким образом, выгоднее выбрать тариф «Расширенный», так как он обойдётся дешевле «Базового» на
Ответ: тариф «Расширенный» выгоднее «Базового» на 250 руб.
Таким образом, в приведённых выше примерах обучающимся необходимо использовать знания по алгебре, геометрии, физике и из жизненного опыта. Учитель может сам составлять условия для контекстных задач или использовать учебную литературу. Применение контекстных задач на уроках математики в школе позволит мобилизовать знания обучающихся не только из предметных областей, но из жизненного опыта. Также подобные задачи будут способствовать повышению уровня учебной мотивации школьников и заинтересованности в предмете.
Литература:
- Константинова Т. Н. Контекстные задачи как средство формирования приемов математического моделирования у учащихся общеобразовательной школы // Мир науки, культуры, образования. — 2014. — № 1. — С. 30–32.
- Токарева Ю. С., Кононенко Н. В. Актуальные вопросы современного математического образования. / Ю. С. Токарева, Н. В. Кононенко, Л. В. Васяк и др. — Чита: ЗабГУ, 2021. — 191 с.

