Анализ деятельности таможенных органов проводится с использованием установленной системы показателей, каждый из которых призван объективно, в полном объеме и статистически значимо обосновать результаты работы за определенный момент времени. В свою очередь, оценка показателей работы по всем направлениям деятельности включает в себя комплекс действий по обоснованию целесообразности утверждаемых показателей, формированию методики их расчета, установлению фактических значений, а также методическое обеспечение сравнения полученных значений с запланированными с последующим выявлением недостатков и преимуществ деятельности таможенных органов.
С целью мониторинга деятельности таможенных органов выявление перспектив и проблем реализации их работы, важное значение приобретает определение порядка нормативного регулирования анализа показателей их деятельности. Стоит подчеркнуть необходимость роли государства в регламентации основных показателей, методики их расчета, определения функционального назначения для обеспечения соблюдения основных принципов оценки таможенных органов. К последним можно отнести единообразие, объективность и действенность, позволяющие исключить беспристрастное отношение к работе таможенных органов, и, как следствие, обеспечивающие получение достоверных результатов анализа.
Рассмотрим процесс становления действующей системы показателей деятельности таможенных органов в призме нормально-законодательного регулирования обеспечения процесса анализа результатов таможенных органов.
В первую очередь отметим, что законодательно в целом оценка деятельности таможенных органов приобрела практику особого влияния сравнительно недавно. Как известно, первым нормативно-правовым документом, регламентирующим порядок анализа результатов работы таможенных органов, был приказ ГТК РФ от 09.01.1998 № 8 «Об утверждении методики проведения анализа и оценки деятельности таможенных органов Российской Федерации». Ключевым назначением данного документа являлся анализ и сравнение эффективности таможенных органов, условие функционирования которых были сопоставимы. Более того, данный приказ обеспечивал выявление резервов и проблем функционирования таможенных организаций. Комплексно систему нормативно-правовых актов можно представить на рис. 1.
Рис. 1. Система нормативно-правового регулирования оценки деятельности таможенных организаций [1, с. 136]
Исходя из рис. 1, первая группа документов направлена на регламентацию действий по осуществлению анализа, основной целью которого является выяснение, насколько эффективно, качественно и в соответствии с установленными критериями осуществляет свою деятельность руководитель ФТС России. В рамках данной группы основное значение приобретает Указ Президента РФ № 1276, который с 10.09.2012 определил направления оценки эффективности деятельности руководителей федеральных органов исполнительной власти по созданию условий, благоприятных для ведения предпринимательской деятельности.
В соответствии с данными документами в 2012 году Правительство РФ утверждает распоряжениями № 2096-р и № 2550-р перечень показателей и методику расчета их целевых значений, необходимых для анализа эффективности деятельности руководителей органов исполнительной власти. Однако действие названных актов признало утратившим силу распоряжением Правительства РФ от 10.04.2014 № 570-р, которое утверждало одновременно и показатели, и вышеуказанную методику.
На основе данных нормативно-правовых актов за период 2012–2020 годов ФТС России утверждала соответствующие приказы, регламентирующие непосредственно перечни показателей и методики определения их значений.
Не сложно догадаться, что для обеспечения качественной оценки таможенных органов необходима регламентированная система показателей, которые в полной мере отражали бы достижение таможенных органов по всем реализуемым ими функциям и обязанностям.
Одним из первых документов, который установил укрупненный перечень направлений оценки эффективности таможенных органов, стало распоряжение Правительства РФ от 14.12.2005 № 2225-р «О Концепции развития таможенных органов Российской Федерации».
Говоря в целом об актах, устанавливающих порядок проведения оценки деятельности таможенных органов, как уже было показано на рис. 1, в данном случае их можно разделить на две группы. Первая группа документов включает в себя такие акты, как Федеральный закон от 03.08.2018 № 289 «О таможенном регулировании в Российской Федерации и о внесении изменений в отдельные законодательные акты Российской Федерации» и постановление Правительства РФ от 29.09.2012 № 994 «Об утверждении Положения о системе показателей работы таможенных органов Российской Федерации, порядке и методике их мониторинга».
Статья 266 Федерального закона № 289 устанавливает ключевые критерии оценки работы таможенных органов. Приказ Минфина России от 18.03.2024 № 24н «Об определении Перечня показателей оценки эффективности деятельности таможенных органов Российской Федерации, Порядка и методики их мониторинга, а также порядка участия в таком мониторинге лиц, указанных в части 3 статьи 10 Федерального закона от 3 августа 2018 г. № 289-ФЗ «О таможенном регулировании в Российской Федерации и о внесении изменений в отдельные законодательные акты Российской Федерации» утверждает систему показателей в соответствии с указанными в законе критериями. Данный перечень показателей служит основной базой первоначальной оценки качества выполняемых таможенными органами функций [4].
Вторая же группа нормативной базы для проведения анализа деятельности таможенных органов отражает акты, регламентирующие одно из ключевых направлений аналитической деятельности в таможенной службе — внутриведомственную оценку.
Положения внутриведомственной оценки таможенных органов определяются нормативно-правовыми актами ФТС России, принятыми на основании актов вышестоящих органов, компетентных в реализации анализа и контроля деятельности таможенных органов.
Первоначальная внутриведомственная оценка была представлена контрольными показателями эффективности деятельности таможенных органов (далее — КПЭД), утверждение которых датируется с принятием приказа ФТС России от 29.12.2004 № 450 «О контрольных показателях эффективности деятельности региональных таможенных управлений на 2005 год». Сущность контрольных показателей заключалась в оценке эффективности реализации региональными таможенными управлениями (далее — РТУ) и таможнями, непосредственно подчиненными ФТС России (далее — ТНП), возложенных на них функций и обязанностей. Однако данная система была не вполне совершена для получения достоверных результатов. В связи с этим, приказом ФТС России от 29.03.2009 № 625 утверждается новая система, включающая две группы показателей — контрольные (КПЭД) и аналитические (далее — АПЭД). АПЭД также предназначены для оценки эффективности РТУ и ТНП, однако они используются и в целях признания текущих показателей в дальнейшем в качестве контрольных. Одной из причин разработки и внедрения новой номенклатуры показателей можно связать с тем, что некоторые контрольные показатели по истечении времени утрачивали способность отражать эффективность таможенного органа, однако их значения использовались для проведения анализа по определенному направлению деятельности, в результате чего целесообразным представлялось перевести данные показатели в аналитические.
Подобная система показателей эффективности была построена на принципе ежегодного определения значений анализируемых показателей, в связи с чем была распространена практика смены одноименных приказов, которые отражали запланированные значения на соответствующий период.
В скором времени Правительством РФ были разработаны методические рекомендации по усовершенствованию функционирования таможенных органов с целью оптимизации финансового обеспечения их деятельности, которые заложили предпосылки коренной модернизации системы оценки работы таможенных организаций. Так, приказом ФТС России от 24.02.2016 № 345 «О показателях результативности деятельности, показателях эффективности деятельности и индикативных показателях региональных таможенных управлений и таможен, непосредственно подчиненных ФТС России, на 2016 год» была введена новая система показателей оценки, представленная тремя группами — показатели результативности и эффективности, а также индикативные показатели. Подобная система приблизила мониторинг деятельности таможенных органов к более комплексному анализу результативности и эффективности, а последние показатели, в свою очередь, стали рассматриваться, как отдельная область контроля.
Однако с вновь веденными положениями практика использования КПЭД и АПЭД оставалась, но актуальность и результативность ее постепенно утрачивала силу, что в большей степени затрудняла работу аналитических подразделений таможенных органов по расчету значений всех действующих показателей. Полная отмена использования системы КПЭД и АПЭД произошла в 2017 году, что подтверждает приказ ФТС России от 02.12.2016 № 2270, определяющий значение показателей на 2017 год.
Следующим шагом в совершенствовании существующей системы показателей работы таможенных органов было принятие приказа ФТС России от 19.01.2017 № 86, определивший порядок действий должностных лиц таможенных органов по разработке указанных выше показателей, а также — мониторинг исполнения данных показателей. Наряду с данным актом вступает в силу приказ ФТС России от 30.10.2017 № 1720, утверждающий показатели результативности и эффективности органов Центрального аппарата, территориальных таможенных органов и в целом деятельности ФТС России. Данный акт остается актуальным при осуществлении анализа таможенной службы и на сегодняшний день. Он позволяет охарактеризовать деятельность таможенных органов по основным направлениям, таким как фискальная, расходно-финансовая, правоохранительная, а также деятельность по реализации таможенного оформления и проведению таможенного контроля.
Важно отметить, что подобная система под показателями эффективности понимает показатели, которые характеризуют результаты деятельности таможенных органов по сравнению с затраченными разного рода ресурсами, что неоднократно было представлено нами в первом параграфе данной работы. В свою очередь, показатели результативности представляют собой «итоговые общественно значимые результаты», в достижении которых активное участие принимают таможенные органы. Показатели результативности и показатели эффективности представляют комплексную оценку работы таможенных организаций, результатом которой является расчет интегрального показателя. Этот момент необходим в понимании и умении обосновать нормативное определение данных показателей в одних документах, отражающих совместные перечни и методики расчета.
В последующем был утвержден приказ ФТС России от 29.12.2020 № 1159 «Об утверждении показателей результативности, эффективности деятельности и индикативных показателей региональных таможенных управлений и таможен» включавший перечень всей трехуровневой системы показателей оценки. Однако с начала 2022 года применяется практика определения перечней показателей результативности и эффективности отдельно от индикативных показателей. Это подтверждает вступившие в силу соответственно приказ ФТС России от 15.02.2022 № 99, определяющий показатели результативности и эффективности, и приказ ФТС России от 28.02.2022 № 141, утверждающий перечень индикативных показателей РТУ и таможен.
Тем не менее, действие приказа № 99 было отменено с вступление в силу приказа ФТС России от 28.12.2022 № 1080, как правило, обладающим одноименным названием, но учитывающим изменения, вносимые в предыдущие приказы, и утверждающим новые перечни показателей результативности и показателей эффективности РТУ и таможен.
Таким образом, проведя анализ процесса становления используемой на сегодняшний день системы показателей работы таможенных органов, следует отметить, что черты и характеристики, свойственные настоящей методике оценки эффективности и результативности деятельности, были сформированы под влиянием факторов, во многом определяющих эволюцию принципов нормативного обоснования поэтапной системы действий и правил, составляющих оценку результатов работы. Именно сопоставимый им уровень законодательного регулирования определяет перспективные векторы развития существующей системы показателей.
Из вышесказанного следует, что порядок расчета фактических значений показателей и их сравнение с установленными значениями определяется положениями приказов Федеральной таможенной службы, формирующих методику расчета и оценки выполнения показателей, содержание которой представлено на рис. 2.
Рис. 2. Методика оценки деятельности таможенных органов [3, с.98]
Как видно из общей методики оценки показателей деятельности (рис. 2) для отдельно взятого таможенного органа по каждому показателю результативности и эффективности устанавливаются плановые значения их выполнения поквартально, что утверждается внутренним законодательным документом. Далее по истечению отчетного периода сравнивают фактические значения с плановыми и оценивают уровень отклонения.
На данный момент широкое использование получает метод интегральной, или итоговой оценки деятельности таможенных органов на базе рейтингового анализа. Этапы данной методики заключаются в следующем [4]:
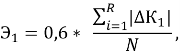
1. В целях расчета итоговой оценки деятельности таможенного органа для каждого невыполненного показателя результативности (эффективности) деятельности вычисляется относительное отклонение фактического (достигнутого) значения от установленного значения по формуле (1):
|
|
(1) |
где
2. Оценка деятельности территориального таможенного органа осуществляется по двум группам показателей и учитывает следующие удельные веса групп показателей:
показатели результативности — 60 %;
показатели эффективности — 40 %.
3. Значение коэффициента результативности деятельности таможенного органа рассчитывается по формуле (2):
|
|
(2) |
где N — количество установленных показателей результативности деятельности (за исключением показателей, которые не рассчитываются или не оцениваются);
R — количество невыполненных показателей результативности деятельности.
4. Значение коэффициента эффективности деятельности таможенного органа рассчитывается по формуле (3):
|
|
(3) |
где M — количество установленных показателей эффективности деятельности (за исключением показателей, которые не рассчитываются или не оцениваются);
E — количество невыполненных показателей эффективности деятельности.
5. Значение интегрального показателя деятельности таможенного органа рассчитывается по формуле (4):
|
|
(4) |
6. Оценка деятельности таможенного органа в зависимости от значения интегрального показателя определяется следующим образом:
«отлично», если Э составляет не более 0,2;
«хорошо», если Э составляет более 0,2, но не более 0,4;
«удовлетворительно», если Э составляет более 0,4, но не более 0,6;
«неудовлетворительно», если Э составляет более 0,6.
Следовательно, интегральная оценка деятельности таможенных органов позволяет комплексно объективно оценивать возможные резервы повышения эффективности работы, а также места проблем и трудностей реализации поставленных задач. Далее результаты оценки используются для принятия управленческих решений по минимизации имеющихся и предположительных факторов риска угроз невыполнения установленных задач и планов.
Подводя итоги анализа методики расчета и оценки показателей деятельности таможенных органов, сформируем перечень инструментария, используемого при оценке деятельности таможенных органов:
- Формирование ежеквартальных отчетов по выполнению показателей результативности, показателей эффективности и индикативных показателей деятельности РТУ и таможен.
- Проставление итоговых оценок по выполнению каждого показателя результативности и эффективности подчиненными таможнями.
- Формирование рейтинга подчиненных таможен по значениям интегральной оценки.
- Анализ причин невыполнения каждого показателя по каждому таможенному органу.
- Формирование рейтинга подчиненных таможен по каждому индикативному показателю [1, с. 406].
Таким образом, сейчас значимость оценки эффективности и результативности деятельности таможенной службы существенно возросла, поскольку она влияет на достижение основных направлений работы таможенных органов, определенных в соответствии с государственными целями и интересами. Это подтверждает рассматриваемая нами система показателей эффективности и результативности, развитие которой демонстрирует улучшение деятельности таможенных органов и необходимость объективного и своевременного анализа их работы. Следовательно, эффективность таможенных органов связана с правильным выбором и распределением приоритетности задач, что отражается в согласовании целей таможенной службы с общими целями государственного регулирования, а также в достижении целевых показателей при рациональном использовании имеющихся ресурсов.
Литература:
- Гупанова Ю. Е. Экономика таможенного дела / Ю. Е. Гупанова, С. В. Курихин, В. П. Смирнов и др.: учебник М.: РИО Российской таможенной академии, 2021. 442 с.
- Зиновкина А. Р., Карпенко Н. В. Совершенствование оценки эффективности деятельности таможенных органов в современных условиях // Молодая наука Сибири. 2024. № 1 (23). С. 1–8.
- Иброхимов Д. Ф. Порядок оценки эффективности деятельности таможенных органов с помощью системы показателей // Научно-практический журнал «Аsпирант». 2020. № 6 (57). С. 97–100.
- Приказ Минфина России от 18.03.2024 № 24н «Об определении Перечня показателей оценки эффективности деятельности таможенных органов Российской Федерации, Порядка и методики их мониторинга, а также порядка участия в таком мониторинге лиц, указанных в части 3 статьи 10 Федерального закона от 3 августа 2018 г. № 289-ФЗ «О таможенном регулировании в Российской Федерации и о внесении изменений в отдельные законодательные акты Российской Федерации» [Электронный ресурс] // СПС «КонсультантПлюс».
- Приказ ФТС России от 28.12.2022 № 1080 «Об утверждении показателей результативности деятельности и показателей эффективности деятельности региональных таможенных управлений и таможен» [Электронный ресурс] // СПС «КонсультантПлюс».
- Официальный сайт Федеральной таможенной службы [Электронный ресурс]. URL: http://www.customs.ru. (дата обращения: 06.11.2025).

