This article examines the problem of determining the voltage asymmetry coefficient in distribution electrical networks. To describe this process, a simulation model was developed on a mathematical basis and implemented in the MATLAB/Simulink environment. The model is based on the requirements of GOST 32144–2013 and IEC 61000–4–30 standards and is proposed for use in assessing and monitoring the technical condition of electrical networks.
Keywords: voltage asymmetry, simulation model, Simulink, distribution electrical networks.
В статье рассмотрена задача определения коэффициента несимметрии напряжения в распределительных электрических сетях. Разработана имитационная модель на математической основе, реализованная в среде MATLAB/Simulink. Модель соответствует требованиям ГОСТ 32144–2013 и IEC 61000–4–30 и может применяться для оценки и мониторинга технического состояния электрических сетей.
Ключевые слова: несимметрия напряжения, имитационная модель, Simulink, распределительные электрические сети.
Introduction
Ensuring the quality indicators of electrical energy is one of the key factors in improving the reliability and efficiency of electrical distribution networks. One of the major phenomena leading to a decline in power quality is voltage unbalance between phases. Voltage unbalance occurs as a result of unequal load distribution among phases, aging of cable lines, or technical faults in transformers [1–2].
A high level of voltage unbalance shortens the service life of electrical equipment, increases energy losses, and reduces the quality of electricity supplied to consumers. Therefore, the accurate and rapid assessment of the voltage unbalance coefficient in distribution electrical networks is of critical importance.
In previous studies, the voltage unbalance coefficient was determined based on statistical methods [3–4]. Although this approach provides high accuracy, it does not allow a comprehensive representation of the dynamic variations of the process. Therefore, in this paper, an additional simulation model has been developed, building upon the results of the statistical approach. This model implements the mathematical formula through a Simulink block diagram, thereby automating the calculations and making the results closer to real operating conditions.
Research methods and approaches
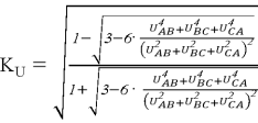
The voltage unbalance coefficient (𝐾ᵤ) is determined using the following formula (1):
Here,
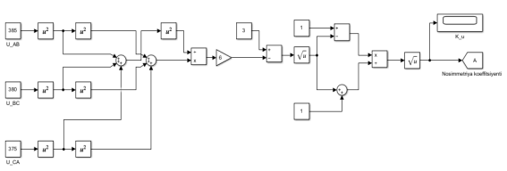
Fig. 1. Simulation model for determining the voltage unbalance coefficient
The simulation model was developed in the MATLAB/Simulink environment (Figure 1). The following steps were carried out in the model:
– the line-to-line voltages were entered as input values;
– the squares and fourth powers of the voltages were calculated;
– the sums were obtained and the normalization process was performed;
– as a result, the value of the voltage unbalance coefficient
–
– The model was tested using real measurement data: U_AB = 385 V, U_BC = 380 V, U_CA = 375 V.
Results and discussion
According to the results of the simulation model, the values of the voltage unbalance coefficient 𝐾 𝑈 were found to be in the range of 0.24–0.27. These results fully correspond to the values obtained through the previous statistical approach, which confirms the reliability and reproducibility of the proposed method [3, 5].
Table 1
Network voltages and values of the voltage unbalance coefficient
|
N |
Line voltages of the network, V |
Asymmetry coefficient, % | ||
|
U AB |
U BC |
U CA | ||
|
1. |
374.5 |
376.2 |
375.2 |
0.2629 |
|
2. |
374.4 |
376.0 |
375.0 |
0.2489 |
|
3. |
375.5 |
377.1 |
376.2 |
0.2462 |
The obtained range demonstrates that voltage unbalance fluctuations in the network are minor, the load distribution across phases is relatively stable, and the technical condition of the electrical network remains within standard requirements. Therefore, the developed Simulink-based simulation model serves as a practically sufficient and effective tool for the rapid assessment of 𝐾 𝑈 , as well as for operational monitoring and informed diagnostic decision-making.
Conclusion
The simulation model developed for determining the voltage unbalance coefficient in distribution electrical networks was successfully applied in practical tests. The results obtained from the model fully comply with the requirements of GOST 32144–2013 and IEC 61000–4–30 standards, confirming its reliability. Furthermore, the consistency between the results of the statistical and simulation approaches demonstrates the theoretical and practical soundness of the methodology. Therefore, the proposed simulation model can be effectively applied for assessing the technical condition of electrical networks, monitoring power quality, and automating real-time observation processes.
References:
- D. T. Yusupov, A. B. Muminov, O. M. Kutbidinov, M. B. Anorboyev, S. E. Khamdamov. Development of an algorithm for identifying asymmetric processes in electric distribution networks. In E3S Web of Conferences (Vol. 434). EDP Sciences, (2023).
- Olczykowski, Z. Electric arc furnaces as a cause of current and voltage asymmetry. Energies, 14(16). (2021). https://doi.org/10.3390/en14165058
- Muratov X. M., Xamdamov S. E. Taqsimlash elektr tarmoqlarida kuchlanish nosimmetriyasi va uning elektr energiya isrofiga ta’siri // “Energetika va energiya tejash muammolari” respublika ilmiy-amaliy anjumani materiallari to‘plami, Toshkent sh., 2025-yil 13–14-may, 365–367-b.
- Yusupov D. T., Anorboyev M. B., Xamdamov S. E. Elektr energiyasining sifat ko‘rsatkichlarini baholashda noaniq mantiq usulidan foydalanish // “Energetika va energiya tejash muammolari” respublika ilmiy-amaliy anjumani materiallari to‘plami, Toshkent sh., 2025-yil 13–14-may, 668–670-b.
- Escarela-Perez, R., Kulkarni, S. V., Alvarez-Ramirez, J., & Kaushik, K. (2009). Analytical description of the load-loss asymmetry phenomenon in three-phase three-limb transformers. IEEE Transactions on Power Delivery, 24(2), 695–702. https://doi.org/10.1109/TPWRD.2008.923988
- GOST 32144–2013. Electric energy. Electromagnetic compatibility of technical equipment. Power quality limits in public distribution systems. Moscow: Standartinform. (2014).
- IEC 61000–4–30. Electromagnetic compatibility (EMC) — Part 4–30: Testing and measurement techniques — Power quality measurement methods. Geneva: International Electrotechnical Commission. (2015).

